Самостоятельная работа 4 Вариант 3 ГДЗ Дидактические материалы Никольский Потапов 10 класс (Алгебра)
Решение #1

Рассмотрим вариант решения задания из учебника Потапов, Шевкин, Никольский 10 класс, Просвещение:
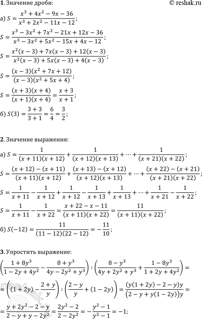
1. а) Сократите дробь (x^3+4x^2-9x-36)/(x^3+2x^2-11x-12).
б) Найдите значение полученной дроби при x=3.
2. а) Запишите в виде дроби выражение 1/((x+11)(x+12))+1/((x+12)(x+13))+...+1/((x+21)(x+22)).
б) Найдите значение полученной дроби при x=-12.
3. Упростите выражение ((1+8y^3)/(1-2y+4y^2)-(8+y^3)/(4y-2y^2+y^3)):((8-y^3)/(4y+2y^2+y^3)+(1-8y^3)/(1+2y+4y^2)).
Похожие решебники
Популярные решебники 10 класс Все решебники
*размещая тексты в комментариях ниже, вы автоматически соглашаетесь с пользовательским соглашением