Самостоятельная работа 37 Вариант 2 ГДЗ Дидактические материалы Никольский Потапов 10 класс (Алгебра)
Решение #1

Рассмотрим вариант решения задания из учебника Потапов, Шевкин, Никольский 10 класс, Просвещение:
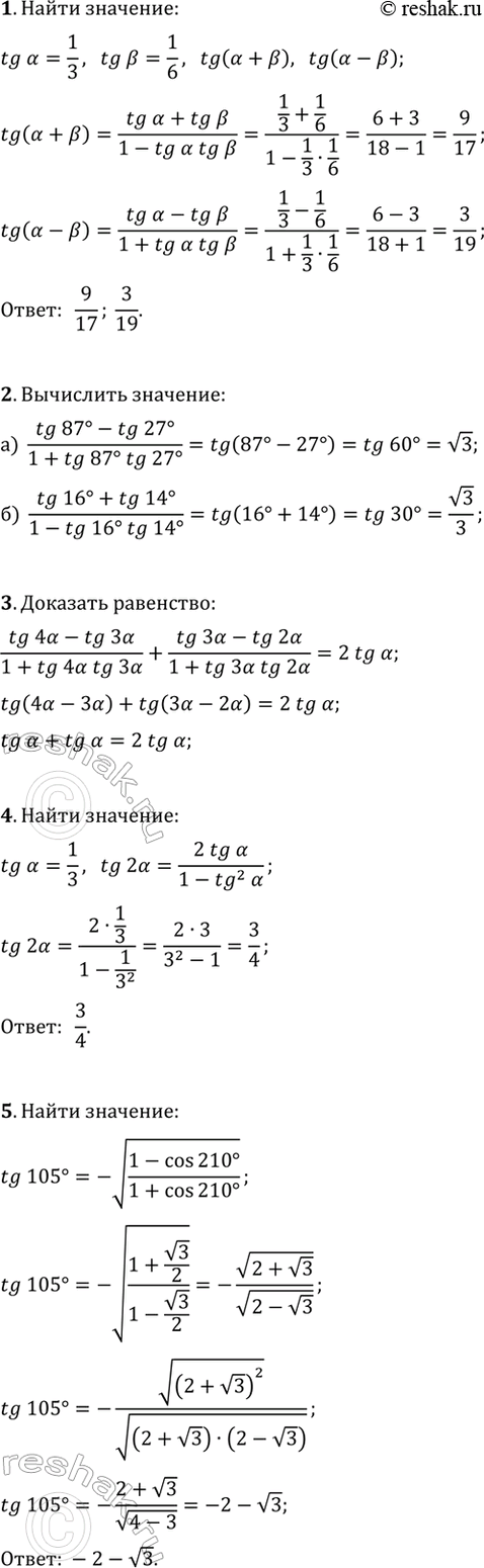
1. Вычислите tg(?+?) и tg(?-?), если tg(?)=1/3, tg(?)=1/6.
2. Вычислите:
а) (tg(87°)-tg(27°))/(1+tg(87°)tg(27°));
б) (tg(16°)+tg(14°))/(1-tg(16°)tg(14°)).
3. Докажите равенство
(tg(4?)-tg(3?))/(1+tg(4?)tg(3?))+(tg(3?)-tg(2?))/(1+tg(3?)tg(2?))=2tg(?)
для тех ?, для которых определены обе его части.
4. Вычислите tg(2?), если tg(?)=1/3.
5. Вычислите tg(105°).
Похожие решебники
Популярные решебники 10 класс Все решебники
*размещая тексты в комментариях ниже, вы автоматически соглашаетесь с пользовательским соглашением