Самостоятельная работа 36 Вариант 1 ГДЗ Дидактические материалы Никольский Потапов 10 класс (Алгебра)
Решение #1

Рассмотрим вариант решения задания из учебника Потапов, Шевкин, Никольский 10 класс, Просвещение:
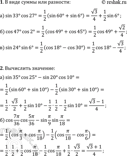
1. Запишите в виде суммы или разности:
а) sin(33°)cos(27°);
б) cos(47°)cos(2°);
в) sin(24°)sin(6°).
2. Вычислите:
а) sin(35°)cos(25°)-sin(20°)cos(10°);
б) cos(7?/36)cos(5?/36)-sin(?/9)sin(?/18).
Похожие решебники
Популярные решебники 10 класс Все решебники
*размещая тексты в комментариях ниже, вы автоматически соглашаетесь с пользовательским соглашением