Самостоятельная работа 34 Вариант 2 ГДЗ Дидактические материалы Никольский Потапов 10 класс (Алгебра)
Решение #1

Рассмотрим вариант решения задания из учебника Потапов, Шевкин, Никольский 10 класс, Просвещение:
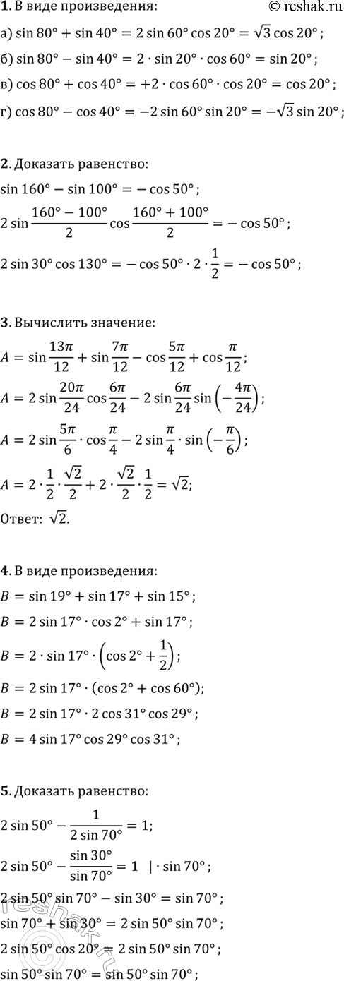
1. Запишите в виде произведения:
а) sin(80°)+sin(40°); б) sin(80°)-sin(40°);
в) cos(80°)+cos(80°); г) cos(80°)-cos(40°).
2. Докажите равенство sin(160°)-sin(100°)=-cos(50°).
3. Вычислите sin(13?/12)+sin(7?/12)-cos(5?/12)+cos(?/12).
4. Запишите в виде произведения sin(19°)+sin(17°)+sin(15°).
5. Докажите равенство 2sin(50°)-1/(2sin(70°))=1.
Похожие решебники
Популярные решебники 10 класс Все решебники
*размещая тексты в комментариях ниже, вы автоматически соглашаетесь с пользовательским соглашением