Самостоятельная работа 33 Вариант 1 ГДЗ Дидактические материалы Никольский Потапов 10 класс (Алгебра)
Решение #1

Рассмотрим вариант решения задания из учебника Потапов, Шевкин, Никольский 10 класс, Просвещение:
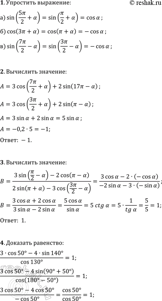
1. Упростите выражение:
а) sin(5?/2+?); б) cos(3?+?); в) sin(7?/2-?).
2. Вычислите 3cos(7?/2+?)+2sin(17?-?), если sin(?)=-0,2.
3. Вычислите (3sin(?/2-?)-2cos(?-?))/(2sin(?+?)-3cos(3?/2-?)), если tg(?)=5.
4. Докажите равенство (3cos(50°)-4sin(140°))/cos(130°)=1.
Похожие решебники
Популярные решебники 10 класс Все решебники
*размещая тексты в комментариях ниже, вы автоматически соглашаетесь с пользовательским соглашением