Самостоятельная работа 32 Вариант 1 ГДЗ Дидактические материалы Никольский Потапов 10 класс (Алгебра)
Решение #1

Рассмотрим вариант решения задания из учебника Потапов, Шевкин, Никольский 10 класс, Просвещение:
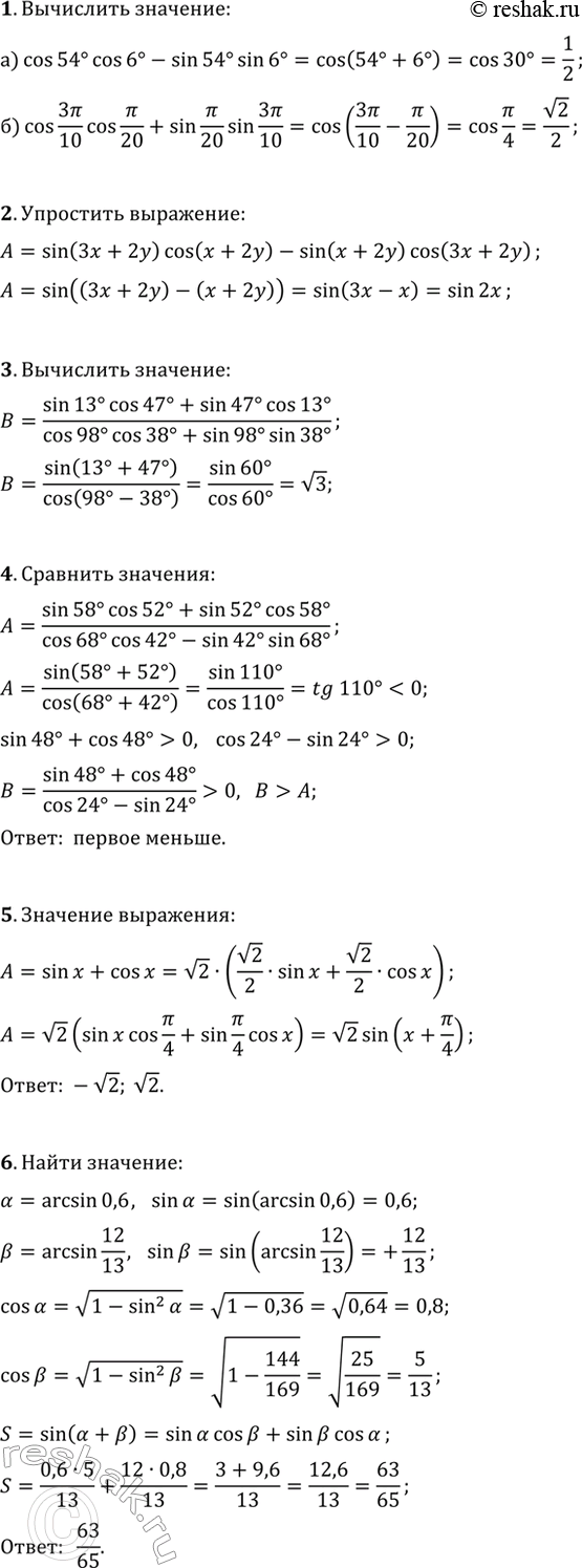
1. Вычислите:
а) cos(54°)cos(6°)-sin(54°)sin(6°);
б) cos(3?/10)cos(?/20)+sin(?/20)sin(3?/10).
2. Упростите выражение sin(3x+2y)cos(x+2y)-sin(x+2y)cos(3x+2y).
3. Вычислите (sin(13°)cos(47°)+sin(47°)cos(13°))/(cos(98°)cos(38°)+sin(98°)sin(38°)).
4. Сравните (sin(58°)cos(52°)+sin(52°)cos(58°))/(cos(68°)cos(42°)-sin(42°)sin(68°)) и (sin(48°)+cos(48°))/(cos(24°)-sin(24°)).
5. Найдите наименьшее и наибольшее значения выражения sin(x)+cos(x).
6. Вычислите sin(arcsin(0,6)+arcsin(12/13)).
Похожие решебники
Популярные решебники 10 класс Все решебники
*размещая тексты в комментариях ниже, вы автоматически соглашаетесь с пользовательским соглашением