Самостоятельная работа 27 Вариант 1 ГДЗ Дидактические материалы Никольский Потапов 10 класс (Алгебра)
Решение #1

Рассмотрим вариант решения задания из учебника Потапов, Шевкин, Никольский 10 класс, Просвещение:
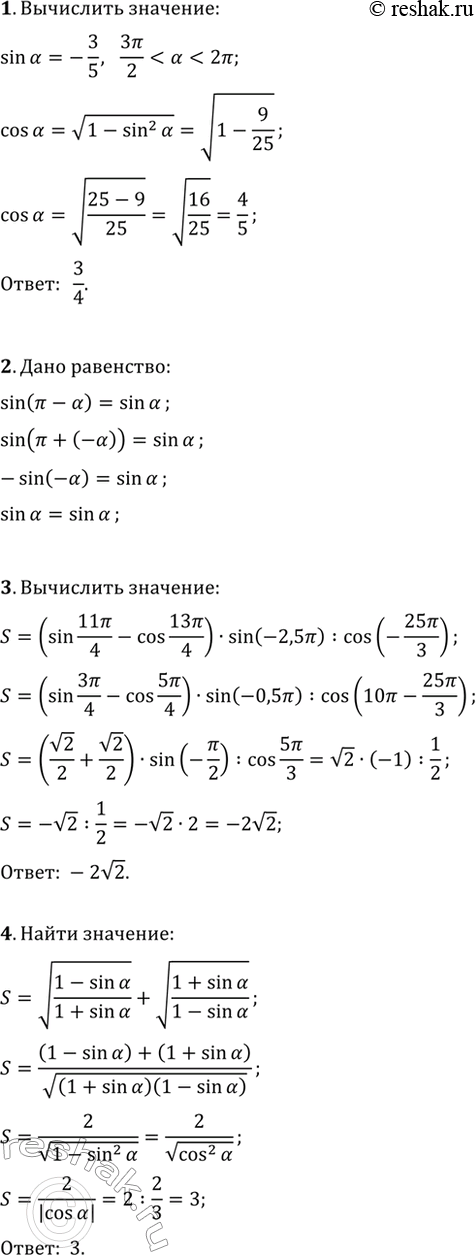
1. Вычислите cos(?), если sin(?)=-3/5, 3?/2 < ? < 2?.
2. Докажите, что для любых ? справедливо равенство sin(?-?)=sin(?).
3. Вычислите (sin(11?/4)-cos(13?/4))·sin(-2,5?):cos(-25?/3).
4. Вычислите v((1-sin(?))/(1+sin(?)))+v((1+sin(?))/(1-sin(?))), если cos(?)=-2/3.
Похожие решебники
Популярные решебники 10 класс Все решебники
*размещая тексты в комментариях ниже, вы автоматически соглашаетесь с пользовательским соглашением