Самостоятельная работа 22 Вариант 4 ГДЗ Дидактические материалы Никольский Потапов 10 класс (Алгебра)
Решение #1

Рассмотрим вариант решения задания из учебника Потапов, Шевкин, Никольский 10 класс, Просвещение:
Решите неравенство (1—3).
1. а) (1/4)^x?2; б) (0,7)^x?-0,7; в) 4^(2x-1) > 1/2;
г) log(0,2; x)?-1; д) log(5; 4x+1) < 2; е) 7^x-44·7^(x-2) < 35.
2. а) (1/4)^x-9·(1/2)^x?-8; б) 64^x-4·8^x+4 > 0;
в) (lg(x))^2+2lg(x)-3 > 0; г) (log(0,5; x))^2-log(0,5; x)-6 < 0.
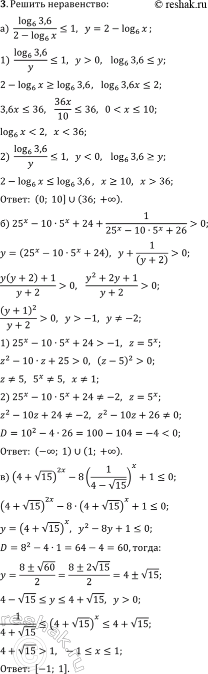
3. а) log(6; 3,6)/(2-log(6; x))?1; б) 25^x-10·5^x+24+1/(25^x-10·5^x+26) > 0;
в) (4+v15)^(2x)-8·(1/(4-v15))^x+1?0.
Похожие решебники
Популярные решебники 10 класс Все решебники
*размещая тексты в комментариях ниже, вы автоматически соглашаетесь с пользовательским соглашением