Самостоятельная работа 22 Вариант 1 ГДЗ Дидактические материалы Никольский Потапов 10 класс (Алгебра)
Решение #1

Рассмотрим вариант решения задания из учебника Потапов, Шевкин, Никольский 10 класс, Просвещение:
Решите неравенство (1—3).
1. а) 2^x < 1/8; б) (0,2)^x?-0,2; в) (1/2)^(3x-5)?4;
г) log(2; x) > 2; д) log(0,2; x+2)?-1; е) 4^(x+2)-13·4^x > 12.
2. а) (1/9)^x-6·(1/3)^x > -9; б) 3·9^x-10·3^x+3?0;
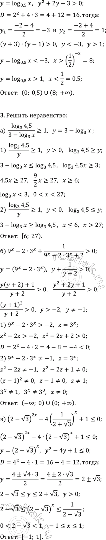
в) lg^2(x)-lg(x)-2 < 0; г) (log(0,5; x))^2+2log(0,5; x)-3 > 0.
3. а) log(3; 4,5)/(3-log(3; x))?1; б) 9^x-2·3^x+1/(9^x-2·3^x+2) > 0;
в) (2-v3)^(2x)-4·(1/(2+v3))^x+1?0.
Похожие решебники
Популярные решебники 10 класс Все решебники
*размещая тексты в комментариях ниже, вы автоматически соглашаетесь с пользовательским соглашением