Самостоятельная работа 21 Вариант 2 ГДЗ Дидактические материалы Никольский Потапов 10 класс (Алгебра)
Решение #1

Рассмотрим вариант решения задания из учебника Потапов, Шевкин, Никольский 10 класс, Просвещение:
Решите уравнение (1—3).
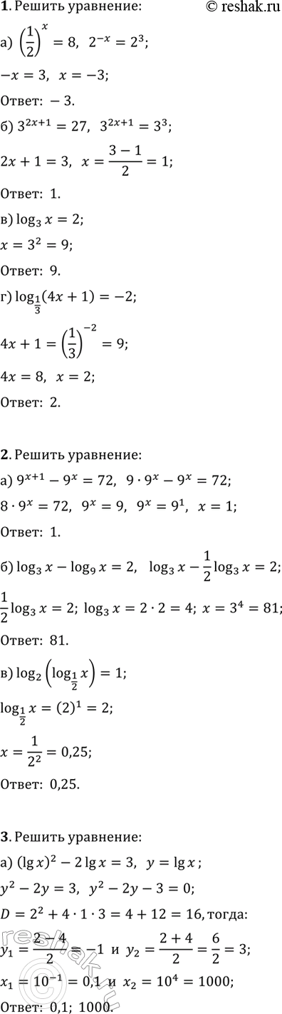
1. а) (1/2)^x=8; б) 3^(2x+1)=27;
в) log(3; x)=2; г) log(1/3; 4x+1)=-2.
2. а) 9^(x+1)-9^x=72; б) log(3; x)-log(9; x)=2;
в) log(2; log(1/2; x))=1.
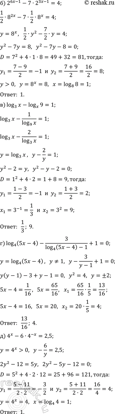
3. а) (lg(x))^2-2lg(x)=3; б) 2^(6x-1)-7·2^(3x-1)=4;
в) log(3; x)-log(x; 9)=1; г) log(4; 5x-4)-3/(log(4; 5x-4)-1)+1=0;
д) 4^x-6·4^(-x)=2,5.
Похожие решебники
Популярные решебники 10 класс Все решебники
*размещая тексты в комментариях ниже, вы автоматически соглашаетесь с пользовательским соглашением