Самостоятельная работа 21 Вариант 1 ГДЗ Дидактические материалы Никольский Потапов 10 класс (Алгебра)
Решение #1

Рассмотрим вариант решения задания из учебника Потапов, Шевкин, Никольский 10 класс, Просвещение:
Решите уравнение (1—3).
1. а) (1/3)^x=9; б) 2^(2x-7)=8;
в) log(2; x)=3; г) log(1/2; 3x+1)=-2.
2. а) 3^(x+1)-3^x=18; б) log(2; x)+log(4; x)=6;
в) log(1/3; log(3; x))=-1.
3. а) (lg(x))^2-lg(x)=2; б) 3^(2x-3)-8·3^(x-2)=3;
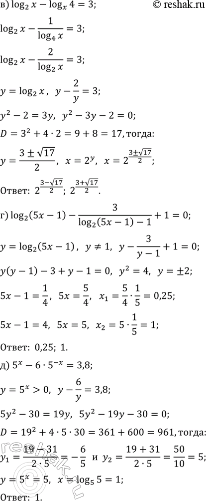
в) log(2; x)-log(x; 4)=3; г) log(2; 5x-1)-3/(log(2; 5x-1)-1)+1=0;
д) 5^x-6·5^(-x)=3,8.
Похожие решебники
Популярные решебники 10 класс Все решебники
*размещая тексты в комментариях ниже, вы автоматически соглашаетесь с пользовательским соглашением