Самостоятельная работа 19 Вариант 4 ГДЗ Дидактические материалы Никольский Потапов 10 класс (Алгебра)
Решение #1

Рассмотрим вариант решения задания из учебника Потапов, Шевкин, Никольский 10 класс, Просвещение:
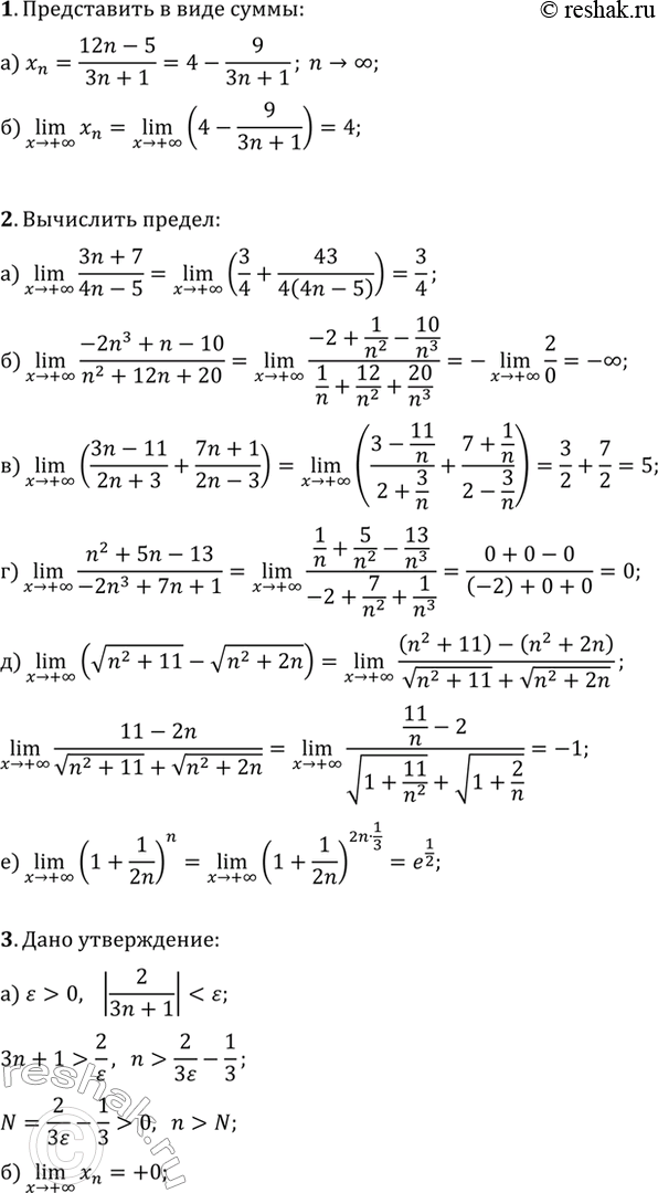
1. а) Представьте переменную x_n=(12n-5)/(3n+1) в виде суммы числа и бесконечно малой.
б) Чему равен (n > +?)lim(x_n)?
2. Пользуясь свойствами пределов, вычислите предел:
а) (n > +?)lim((3n+7)/(4n-5)); б) (n > +?)lim((-2n^3+n-10)/(n^2+12n+20));
в) (n > +?)lim((3n-11)/(2n+3)+(7n+1)/(2n-3)); г) (n > +?)lim((n^2+5n-13)/(-2n^3+7n+1));
д) (n > +?)lim(v(n^2+11)-v(n^2+2n)); е) (n > +?)lim(1+1/(2n))^n.
3. а) Докажите, что переменная x_n=2/(3n+1) является бесконечно малой, пользуясь определением бесконечно малой (на языке «?-N»).
б) Чему равен (n > +?)lim(x_n)?
Похожие решебники
Популярные решебники 10 класс Все решебники
*размещая тексты в комментариях ниже, вы автоматически соглашаетесь с пользовательским соглашением