Самостоятельная работа 18 Вариант 4 ГДЗ Дидактические материалы Никольский Потапов 10 класс (Алгебра)
Решение #1

Рассмотрим вариант решения задания из учебника Потапов, Шевкин, Никольский 10 класс, Просвещение:
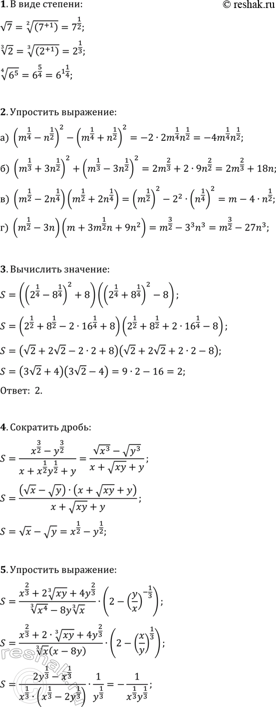
1. Запишите в виде степени: v7; 2^(1/3); (6^5)^(1/4).
2. Упростите, применив формулы сокращенного умножения:
а) (m^(1/4)-n^(1/2))^2-(m^(1/4)+n^(1/2))^2; б) (m^(1/3)+3n^(1/2))^2+(m^(1/3)-3n^(1/2))^2;
в) (m^(1/2)-2n^(1/4))(m^(1/2)+2n^(1/4)); г) (m^(1/2)-3n)(m+3m^(1/2) n+9n^2).
3. Вычислите ((2^(1/4)-8^(1/4))^2+8)((2^(1/4)+8^(1/4))-8).
4. Сократите дробь (x^(3/2)-y^(3/2))/(x+x^(1/2) y^(1/2)+y).
5. Упростите (x^(2/3)+2(xy)^(1/3)+4y^(2/3))/((x^4)^(1/3)-8y x^(1/3))·(2-(y/x)^(-1/3)).
Похожие решебники
Популярные решебники 10 класс Все решебники
*размещая тексты в комментариях ниже, вы автоматически соглашаетесь с пользовательским соглашением