Самостоятельная работа 15 Вариант 3 ГДЗ Дидактические материалы Никольский Потапов 10 класс (Алгебра)
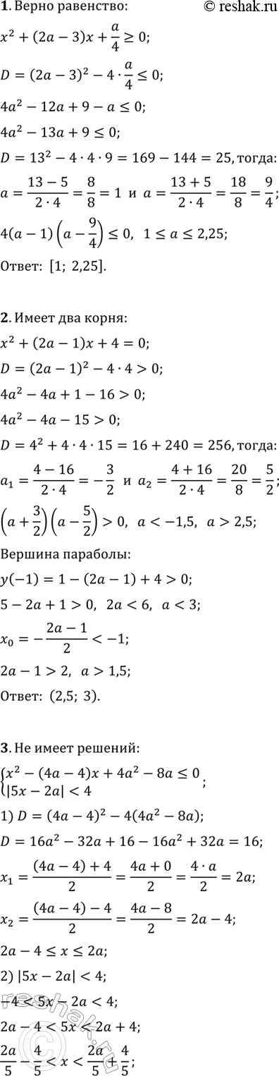
Решение #1

Рассмотрим вариант решения задания из учебника Потапов, Шевкин, Никольский 10 класс, Просвещение:
1. Найдите все значения а, при каждом из которых любое действительное число х является решением неравенства x^2+(2a-3)x+a/4?0.
2. Найдите все значения а, при каждом из которых уравнение x^2+(2a-1)x+4=0 имеет два различных корня, меньших -1.
3. Найдите все значения а, при каждом из которых не имеет решений система неравенств {x^2-(4a-4)x+4a^2-8a?0, |5x-2a| < 4}.
4. Найдите все значения а, при каждом из которых один из корней уравнения x^2-(4a-6)x+3a^2-10a+8=0 отрицательный, а другой заключен между числами -1 и -2.
Похожие решебники
Популярные решебники 10 класс Все решебники
*размещая тексты в комментариях ниже, вы автоматически соглашаетесь с пользовательским соглашением