Самостоятельная работа 14 Вариант 3 ГДЗ Дидактические материалы Никольский Потапов 10 класс (Алгебра)
Решение #1

Рассмотрим вариант решения задания из учебника Потапов, Шевкин, Никольский 10 класс, Просвещение:
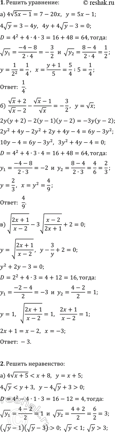
1. Решите уравнение:
а) 4v(5x-1)=7-20x;
б) (vx+2)/(vx-2)-(vx-1)/vx=-3/2;
в) v((2x+1)/(x-2))-3v((x-2)/(2x+1))+2=0.
2. Решите неравенство:
а) 4v(x+5) < x+8;
б) (3x-1)/(2x+1)+v((3x-1)/(2x+1))-6?0;
в) v((8x-11)/(x-2))-6v((x-2)/(8x-11))+1?0.
Похожие решебники
Популярные решебники 10 класс Все решебники
*размещая тексты в комментариях ниже, вы автоматически соглашаетесь с пользовательским соглашением