Самостоятельная работа 14 Вариант 1 ГДЗ Дидактические материалы Никольский Потапов 10 класс (Алгебра)
Решение #1

Рассмотрим вариант решения задания из учебника Потапов, Шевкин, Никольский 10 класс, Просвещение:
1. Решите уравнение:
а) 2v(x-3)=x-6;
б) (vx+1)/(vx-1)-(vx+3)/vx=2;
в) v((x+1)/x)-3v(x/(x+1))-2=0.
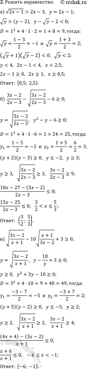
2. Решите неравенство:
а) v(2x-1) > 2x-3;
б) (3x-2)/(2x-3)-v((3x-2)/(2x-3))-6?0;
в) v((3x-2)/(x+1))-10v((x+1)/(3x-2))?0.
Похожие решебники
Популярные решебники 10 класс Все решебники
*размещая тексты в комментариях ниже, вы автоматически соглашаетесь с пользовательским соглашением