Самостоятельная работа 13 Вариант 4 ГДЗ Дидактические материалы Никольский Потапов 10 класс (Алгебра)
Решение #1

Рассмотрим вариант решения задания из учебника Потапов, Шевкин, Никольский 10 класс, Просвещение:
Решите неравенство (1—3).
1. (x^2+4x)^2-(x+2)^2-16 < 0.
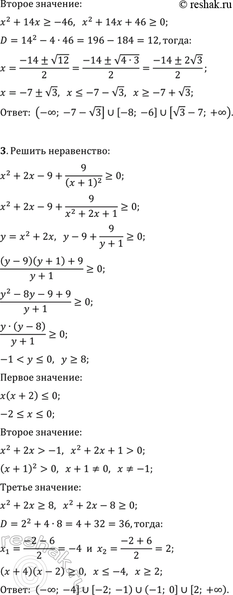
2. (x+5)(x+7)^2 (x+9)?-3.
3. x^2+2x-9+9/(x+1)^2?0.
Похожие решебники
Популярные решебники 10 класс Все решебники
*размещая тексты в комментариях ниже, вы автоматически соглашаетесь с пользовательским соглашением