Самостоятельная работа 12 Вариант 4 ГДЗ Дидактические материалы Никольский Потапов 10 класс (Алгебра)
Решение #1

Рассмотрим вариант решения задания из учебника Потапов, Шевкин, Никольский 10 класс, Просвещение:
Решите неравенство (1—2).
1. а) (x+2)(x-3)(x+4) < 0; б) (x+3)^2·(x-2)/(x+4)?0.
2. а) (3x-1)/(x+3)?-1; б) (x+3)/(x-3)-8/(x+1)-23/(x^2-2x-3)?0.
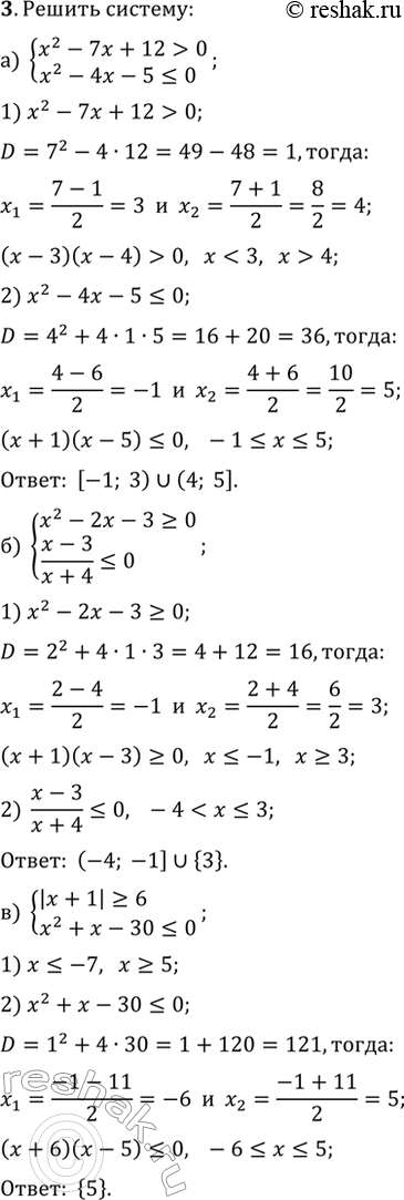
3. Решите систему неравенств:
а) {x^2-7x+12 > 0, x^2-4x-5?0};
б) {x^2-2x-3?0, (x-3)/(x+4)?0};
в) {|x+1|?6, x^2+x-30?0}.
Похожие решебники
Популярные решебники 10 класс Все решебники
*размещая тексты в комментариях ниже, вы автоматически соглашаетесь с пользовательским соглашением