Самостоятельная работа 12 Вариант 3 ГДЗ Дидактические материалы Никольский Потапов 10 класс (Алгебра)
Решение #1

Рассмотрим вариант решения задания из учебника Потапов, Шевкин, Никольский 10 класс, Просвещение:
Решите неравенство (1—2).
1. а) (x+2)(x+3)(x-4) > 0; б) (x+1)(x+2)^2/(x-3)?0.
2. а) (3x+1)/(x-3)?-1; б) (x-1)/(x-4)-3/(x+2)-9/(x^2-2x-8)?0.
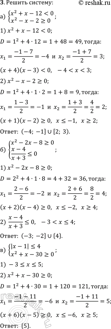
3. Решите систему неравенств:
а) {x^2+x-12 < 0, x^2-x-2?0};
б) {x^2-2x-8?0, (x-4)/(x+3)?0};
в) {|x-1|?4, x^2+x-30?0}.
Похожие решебники
Популярные решебники 10 класс Все решебники
*размещая тексты в комментариях ниже, вы автоматически соглашаетесь с пользовательским соглашением