Самостоятельная работа 12 Вариант 2 ГДЗ Дидактические материалы Никольский Потапов 10 класс (Алгебра)
Решение #1

Рассмотрим вариант решения задания из учебника Потапов, Шевкин, Никольский 10 класс, Просвещение:
Решите неравенство (1—2).
1. а) (x+2)(x-3)(x-4) < 0; б) (x+5)(x-2)/(x-1)^2?0.
2. а) (2x+1)/(x-3)?1; б) x/(x-4)+5/(x-1)+24/(x^2-5x+4)?0.
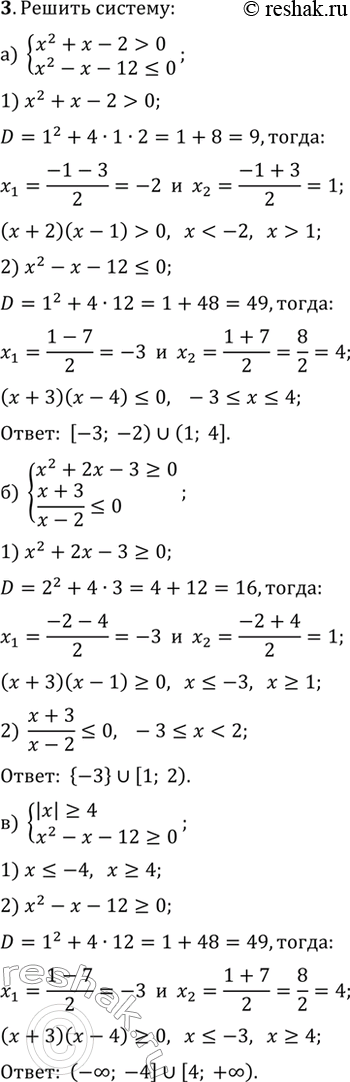
3. Решите систему неравенств:
а) {x^2+x-2 > 0, x^2-x-12?0};
б) {x^2+2x-3?0, (x+3)/(x-2)?0};
в) {|x|?4, x^2-x-12?0}.
Похожие решебники
Популярные решебники 10 класс Все решебники
*размещая тексты в комментариях ниже, вы автоматически соглашаетесь с пользовательским соглашением