Самостоятельная работа 12 Вариант 1 ГДЗ Дидактические материалы Никольский Потапов 10 класс (Алгебра)
Решение #1

Рассмотрим вариант решения задания из учебника Потапов, Шевкин, Никольский 10 класс, Просвещение:
Решите неравенство (1—2).
1. а) (x-2)(x+3)(x-4) > 0; б) (x-1)(x+2)/(x-5)^2?0.
2. а) (2x-1)/(x+3)?1; б) x/(x+3)-3/(x-1)+13/(x^2+2x-3)?0.
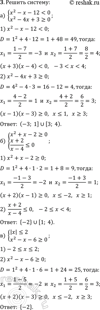
3. Решите систему неравенств:
а) {x^2-x-12 < 0, x^2-4x+3?0};
б) {x^2+x-2?0, (x+2)/(x-4)?0};
в) {|x|?2, x^2-x-6?0}.
Похожие решебники
Популярные решебники 10 класс Все решебники
*размещая тексты в комментариях ниже, вы автоматически соглашаетесь с пользовательским соглашением