Самостоятельная работа 11 Вариант 2 ГДЗ Дидактические материалы Никольский Потапов 10 класс (Алгебра)
Решение #1

Рассмотрим вариант решения задания из учебника Потапов, Шевкин, Никольский 10 класс, Просвещение:
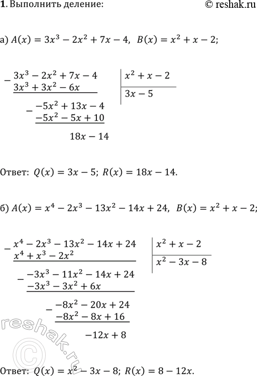
1. Разделите уголком многочлен А(х) на многочлен В(х), укажите неполное частное Q(x) и остаток R(х), если:
а) A(x)=3x^3-2x^2+7x-4, B(x)=x^2+x-2;
б) A(x)=x^4-2x^3-13x^2-14x+24, B(x)=x^2+x-2.
2. С помощью схемы Горнера разделите многочлен А(х) на многочлен В(х), укажите неполное частное Q(x) и остаток В(х), если A(x)=3x^4-6x^2-15, B(x)=x-2.
3. С помощью теоремы Безу определите остаток R(x) от деления многочлена А(х) на многочлен В(х), если:
а) A(x)=5x^3-4x^2-12x-3, B(x)=x+1;
б) A(x)=(x-1)^9, B(x)=x-2.
4. Многочлен P_3(x)=x^3+ax^2+bx+12 при делении на (x-1) дает в остатке -12, а при делении на (x+1) дает в остатке -6. Определите коэффициенты a и b.
5. Решите уравнение:
а) 2x^3+7x^2+2x-3=0;
б) x^4-x^3-7x^2+x+6=0.
Похожие решебники
Популярные решебники 10 класс Все решебники
*размещая тексты в комментариях ниже, вы автоматически соглашаетесь с пользовательским соглашением