Упр.2.167 ГДЗ Дорофеев Суворова 8 класс (Алгебра)
Решение #1

Рассмотрим вариант решения задания из учебника Дорофеев, Суворова, Бунимович 8 класс, Просвещение:
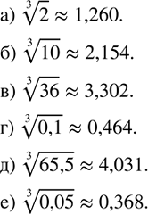
Найдите с помощью калькулятора приближенное значение с тремя знаками после запятой следующего числа:
а) ?2;
б) ?10;
в) ?36;
г) ?0,1;
д) ?65,5;
е) ?0,05.
Популярные решебники 8 класс Все решебники
*размещая тексты в комментариях ниже, вы автоматически соглашаетесь с пользовательским соглашением