Упр.1.129 ГДЗ Дорофеев Суворова 8 класс (Алгебра)
Решение #1

Рассмотрим вариант решения задания из учебника Дорофеев, Суворова, Бунимович 8 класс, Просвещение:
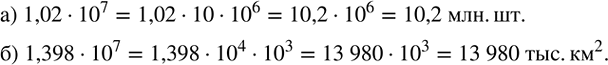
а) За первые два месяца наступившего года в мире было продано примерно 1,02•?10?^7 компьютеров. Выразите это число в миллионах штук.
б) Территория Антарктиды составляет 1,398•?10?^7 км^2. Сколько это тысяч квадратных километров?
Популярные решебники 8 класс Все решебники
*размещая тексты в комментариях ниже, вы автоматически соглашаетесь с пользовательским соглашением