Контрольная работа 7 Вариант 4 ГДЗ Дидактические материалы Никольский Потапов 10 класс (Алгебра)
Решение #1

Рассмотрим вариант решения задания из учебника Потапов, Шевкин, Никольский 10 класс, Просвещение:
Решите уравнение (1—5).
1. а) sin(x)=1; б) cos(x)=1/2; в) tg(x)=-v3/3.
2. а) 2cos^2(x)-cos(x)-1=0; б) 3sin^2(x)-2cos(x)+2=0.
3. а) v3sin(x)+cos(x)=0;
б) sin^2(x)-2v3sin(x)cos(x)+3cos^2(x)=0.
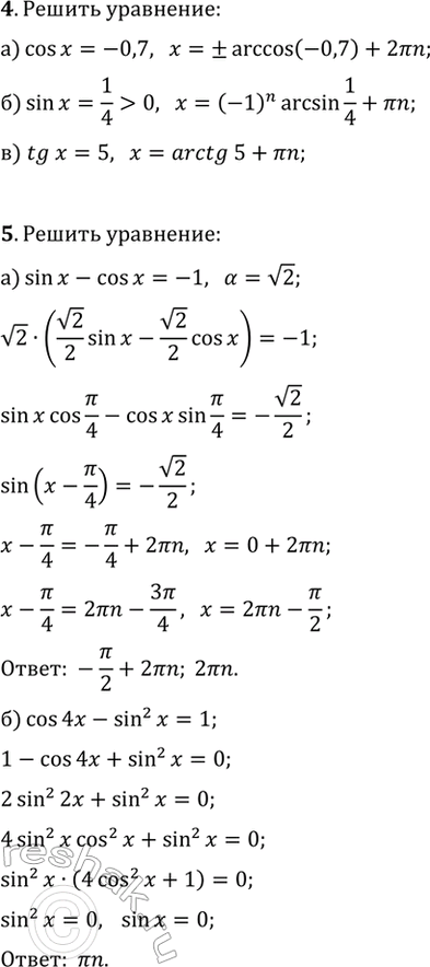
4*. а) cos(x)=-0,7; б) sin(x)=1/4; в) tg(x)=5.
5*. а) sin(x)-cos(x)=-1; б) cos(4x)-sin^2(x)=1.
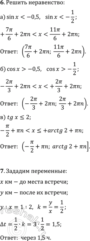
6*. Решите неравенство:
а) sin(x) < -0,5; б) cos(x) > -0,5; в) tg(x)?2.
7*. Из города А в город В вышел пешеход. Через некоторое время после выхода пешехода из города В в город А выехал велосипедист. Через час после выхода пешехода вслед за ним выехал мотоциклист. Все участники двигались равномерно и встретились в одной точке маршрута. Мотоциклист прибыл в город В через 3 ч после выезда из него велосипедиста, но за 2 ч до прибытия пешехода в город В. Через сколько часов после выезда мотоциклиста велосипедист прибыл в город А?
Похожие решебники
Популярные решебники 10 класс Все решебники
*размещая тексты в комментариях ниже, вы автоматически соглашаетесь с пользовательским соглашением