Контрольная работа 7 Вариант 3 ГДЗ Дидактические материалы Никольский Потапов 10 класс (Алгебра)
Решение #1

Рассмотрим вариант решения задания из учебникаПотапов, Шевкин, Никольский 10 класс, Просвещение:
Решите уравнение (1—5).
1. а) cos(x)=1; б) sin(x)=1/2; в) ctg(x)=-v3/3.
2. а) 2sin^2(x)+sin(x)-1=0; б) 3cos^2(x)-sin(x)+1=0.
3. а) v3sin(x)-cos(x)=0;
б) sin^2(x)+2v3sin(x)cos(x)+3cos^2(x)=0.
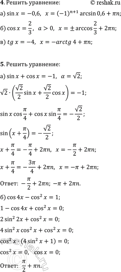
4*. а) sin(x)=-0,6; б) cos(x)=2/3; в) tg(x)=-4.
5*. а) sin(x)+cos(x)=-1; б) cos(4x)-cos^2(x)=1.
6*. Решите неравенство:
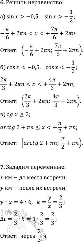
а) sin(x) > -0,5; б) cos(x) < -0,5; в) tg(x)?2.
7*. Из города А в город В вышел пешеход. Через некоторое время после выхода пешехода из города В в город А выехал велосипедист, а еще через час вслед за ним выехал мотоциклист. Все участники двигались равномерно и встретились в одной точке маршрута. Пешеход пришел в город В через 6 ч после выезда мотоциклиста, а мотоциклист прибыл в город А через 4 ч после выхода пешехода из города А. Через сколько часов после мотоциклиста велосипедист прибыл в город А?
Похожие решебники
Популярные решебники 10 класс Все решебники
*К сожалению, временные проблемы с публикацией комментариев с мобильных устройств.