Контрольная работа 7 Вариант 2 ГДЗ Дидактические материалы Никольский Потапов 10 класс (Алгебра)
Решение #1

Рассмотрим вариант решения задания из учебника Потапов, Шевкин, Никольский 10 класс, Просвещение:
Решите уравнение (1—5).
1. а) sin(x)=-1; б) cos(x)=v2/2; в) tg(x)=-v3.
2. а) cos^2(x)-cos(x)-2=0; б) 3cos^2(x)-2sin(x)+2=0.
3. а) sin(x)+cos(x)=0;
б) 3sin^2(x)-2v3sin(x)cos(x)+cos^2(x)=0.
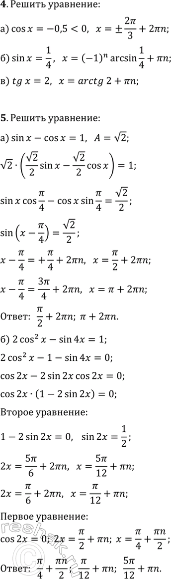
4*. а) cos(x)=-0,5; б) sin(x)=1/4; в) tg(x)=2.
5*. а) sin(x)-cos(x)=1; б) 2cos^2(x)-sin(4x)=1.
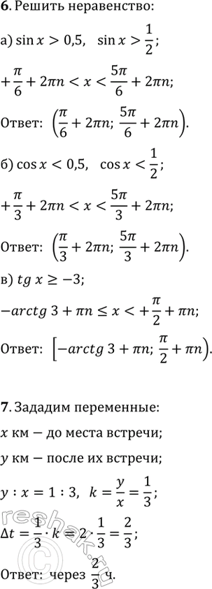
6*. Решите неравенство:
а) sin(x) > 0,5; б) cos(x) < 0,5; в) tg(x)?-3.
7*. Из города А в город В вышел пешеход. Через 3 ч после его выхода из города А в город В выехал велосипедист, а еще через 2 ч вслед за ним выехал мотоциклист. Все участники двигались равномерно и в какой-то момент времени оказались в одной точке маршрута. Велосипедист прибыл в город В на 1 ч раньше пешехода. Через сколько часов после мотоциклиста велосипедист приехал в город В?
Похожие решебники
Популярные решебники 10 класс Все решебники
*размещая тексты в комментариях ниже, вы автоматически соглашаетесь с пользовательским соглашением