Контрольная работа 4 Вариант 4 ГДЗ Дидактические материалы Никольский Потапов 10 класс (Алгебра)
Решение #1

Рассмотрим вариант решения задания из учебника Потапов, Шевкин, Никольский 10 класс, Просвещение:
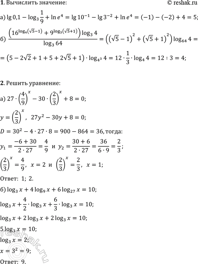
1. Вычислите:
а) lg(0,1)-log(3, 1/9)+ln(e^4);
б) (16^log(4, v5-1)+9^log(3, v5+1))log(3, 4)/log(3, 64).
2. Решите уравнение:
а) 27·(4/9)^x-30·(2/3)^x+8=0;
б) log(3, x)+4log(9, x)+6log(27, x)=10.
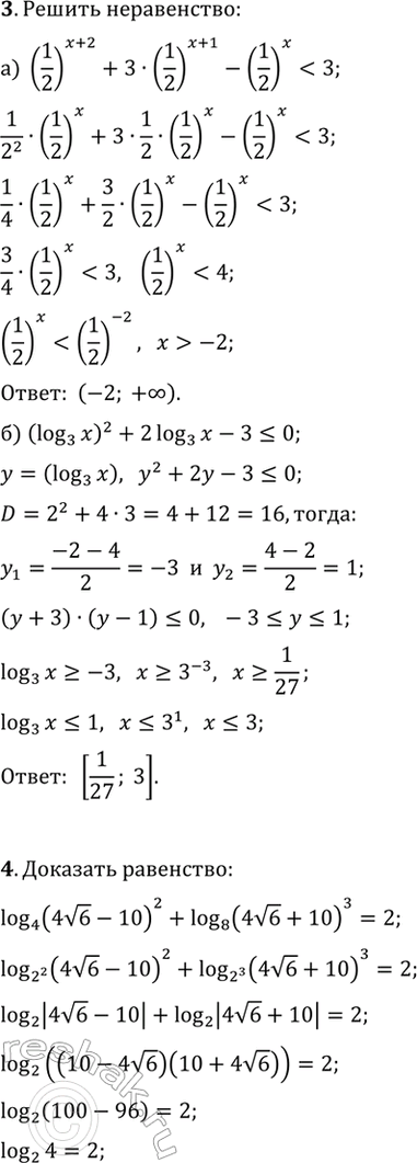
3. Решите неравенство:
а) (1/2)^(x+2)+3·(1/2)^(x+1)-(1/2)^x < 3;
б) (log(3, x))^2+2log(3, x)-3?0.
4*. Докажите числовое равенство
log(4, (4v6-10)^2)+log(8, (4v6+10)^3)=2.
5*. Вычислите значение числового выражения (v2)^log(5, 3):(v3)^log(5, 2).
6*. Решите уравнение (2-v3)^x+(2+v3)^x-2=0.
7*. Некоторое число деталей токарь должен обточить к намеченному сроку. За 4 ч он выполнил две трети задания, а остальные детали обточил его ученик, который обтачивал на 5 деталей в час меньше, чем токарь. В результате задание было выполнено на 1 ч 15 мин позже намеченного срока. Сколько деталей обточили токарь и его ученик вместе?
Похожие решебники
Популярные решебники 10 класс Все решебники
*размещая тексты в комментариях ниже, вы автоматически соглашаетесь с пользовательским соглашением