Упр.959 ГДЗ Мерзляк Полонский 8 класс (Алгебра)
Решение #1 (Учебник 2025)

Рассмотрим вариант решения задания из учебника Мерзляк, Полонская, Якир 8 класс, Просвещение:
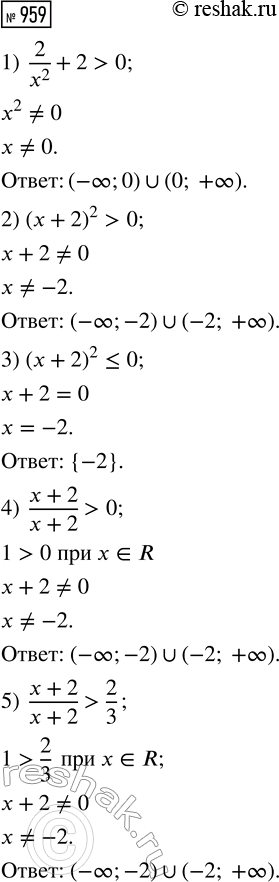
Решите неравенство:
1) 2/x + 2 > 0;
2) (x + 2)^2 > 0;
3) (x + 2)^2 <= 0;
4) (x + 2)/(x + 2) > 0;
5) (x + 2)/(x + 2) >= 2/3;
6) ((x + 2)/(x - 2))^2 > 0;
7) ((x + 2)/(x - 2))^2 >= 0;
8) x + 1/x^2 < 1/x^2 + 2;
9) |x| >= -x^2;
10) |x| > -x^2;
11) |x| > x;
12) |x| >= -x.
Похожие решебники
Популярные решебники 8 класс Все решебники
*К сожалению, временные проблемы с публикацией комментариев с мобильных устройств.