Упр.942 ГДЗ Колягин Ткачёва 10 класс (Алгебра)
Решение #1
Решение #2

Рассмотрим вариант решения задания из учебника Колягин, Ткачёва, Фёдорова 10 класс, Просвещение:
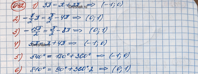
942. Найти координаты точки, полученной поворотом точки Р( 1; О) на заданный угол:
1) Зпи;
2) -7/2пи;
3) -15/2 пи
4) 5пи;
5) 540°;
6) 810°.
Популярные решебники 10 класс Все решебники
*размещая тексты в комментариях ниже, вы автоматически соглашаетесь с пользовательским соглашением