Упр.917 ГДЗ Мерзляк Полонский 5 класс (Математика)
Решение #1 (Учебник 2024)
Решение #2 (Учебник 2019)

Рассмотрим вариант решения задания из учебника Мерзляк, Полонский, Якир 5 класс, Просвещение:
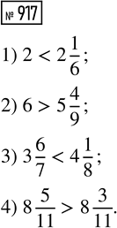
Сравните числа:
1) 2 и 2 1/6; 2) 6 и 5 4/9; 3) 3 6/7 и 4 1/8; 4) 8 5/11 и 8 3/11.
Выполните умножение:
1) 57 · 0,1; 3) 38,1 · 0,001;
2) 2,7 · 0,01; 4) 0,8 · 0,00001.
Похожие решебники
Популярные решебники 5 класс Все решебники
*К сожалению, временные проблемы с публикацией комментариев с мобильных устройств.