Упр.9.8 ГДЗ Мерзляк 10 класс Углубленный уровень (Алгебра)
Решение #1

Рассмотрим вариант решения задания из учебника Мерзляк, Номировский, Поляков 10 класс, Просвещение:
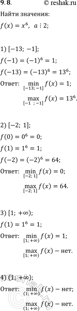
9.8. Найдите наибольшее и наименьшее значения функции f(x)=x^6 на промежутке:
1) [-13; -1]; 2) [-2; 1]; 3) [1; +?); 4) (1; +?).
Похожие решебники
Популярные решебники 10 класс Все решебники
*размещая тексты в комментариях ниже, вы автоматически соглашаетесь с пользовательским соглашением