Упр.9.7 ГДЗ Мерзляк 10 класс Углубленный уровень (Алгебра)
Решение #1

Рассмотрим вариант решения задания из учебника Мерзляк, Номировский, Поляков 10 класс, Просвещение:
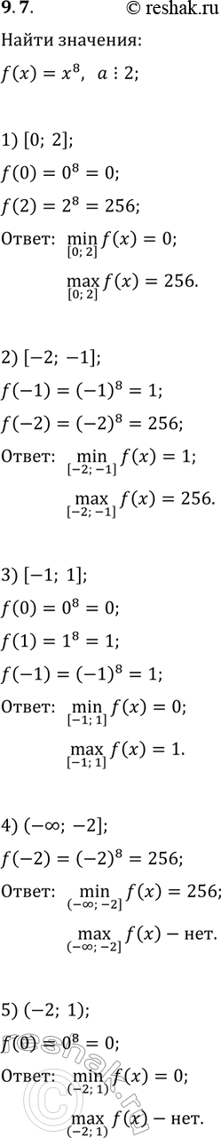
9.7. Найдите наибольшее и наименьшее значения функции f(x)=x^8 на промежутке:
1) [0; 2]; 2) [-2; -1]; 3) [-1; 1]; 4) (-?; -2]; 5) (-2; 1).
Похожие решебники
Популярные решебники 10 класс Все решебники
*размещая тексты в комментариях ниже, вы автоматически соглашаетесь с пользовательским соглашением