Упр.9.20 ГДЗ Дорофеев Суворова 7 класс (Алгебра)
Решение #1

Рассмотрим вариант решения задания из учебника Дорофеев, Суворова, Бунимович 7 класс, Просвещение:
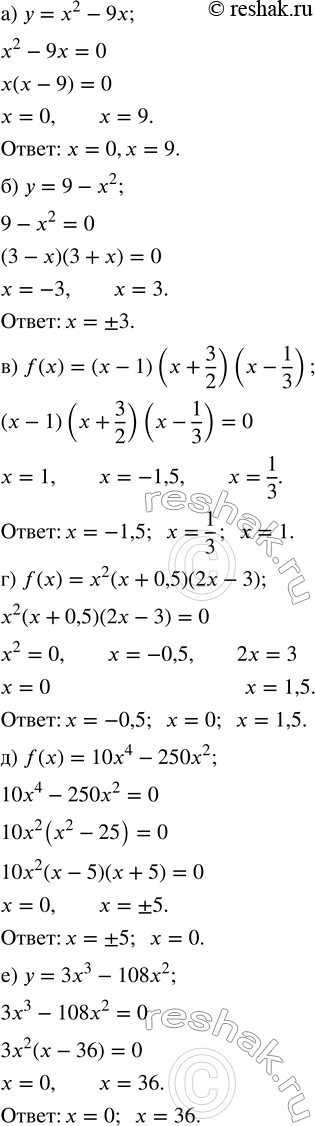
Найдите нули функции:
а) у = х^2 - 9x; г) f(x) = х^2 (х + 0,5)(2х - 3);
б) у = 9 - x^2; д) f(x) = 10х^4 - 250x^2;
в) f(x) = (x - 1)(х + 3/2)(х - 1/3) е) у = 3x^3 - 108x^2.
Популярные решебники 7 класс Все решебники
*размещая тексты в комментариях ниже, вы автоматически соглашаетесь с пользовательским соглашением