Упр.895 ГДЗ Мерзляк Полонский 5 класс (Математика)
Решение #1 (Учебник 2024)
Решение #2 (Учебник 2019)

Рассмотрим вариант решения задания из учебника Мерзляк, Полонский, Якир 5 класс, Просвещение:
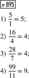
Какому натуральному числу равна дробь:
1) 5/1; 2) 16/4; 3) 28/7; 4) 99/11?
Упростите выражение:
1) 2,46 + а + 81,139 + 14,8;
2) m + 0,47 + 5,062 + m + 43,295;
3) х + 0,3 + 0,9007 + 4,58 + 3x;
4) 7с + 236,7 + 2с + 0,82 + 4,325.
Похожие решебники
Популярные решебники 5 класс Все решебники
*К сожалению, временные проблемы с публикацией комментариев с мобильных устройств.