Задание 5 Параграф 89 ГДЗ Мякишев 10 класс (Физика)
Решение #1

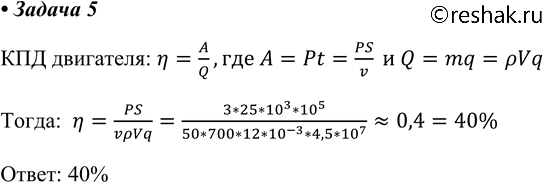
Рассмотрим вариант решения задания из учебника Мякишев, Буховцев 10 класс, Просвещение:
5. Двигатель автомобиля развивает мощность 25 кВт. Определите КПД двигателя, если при скорости 60 км/ч он потребляет 12 л бензина на 100 км пути. Плотность бензина 700 кг/м3. При сгорании 1 кг бензина выделяется количество теплоты, равное 4,5 * 10^7 Дж.
Похожие решебники
Популярные решебники 10 класс Все решебники
*К сожалению, временные проблемы с публикацией комментариев с мобильных устройств.