Упр.868 ГДЗ Мерзляк 9 класс (Алгебра)
Решение #1 (Учебник 2021)
Решение #2 (Учебник 2021)

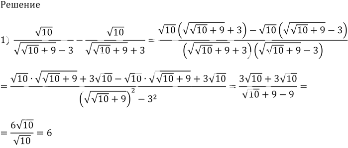
Рассмотрим вариант решения задания из учебника Мерзляк, Полонская, Якир 9 класс, Просвещение:
Докажите, что значение выражения является рациональным числом:
1) корень(10)/(корень(корень(10) + 9) - 3) - корень(10)/(корень(корень(10) + 9) + 3);
2) (2 - корень(5))/(2 + корень(5)) + (2 + корень(5))/(2 - корень(5)).
Похожие решебники
Популярные решебники 9 класс Все решебники
*размещая тексты в комментариях ниже, вы автоматически соглашаетесь с пользовательским соглашением