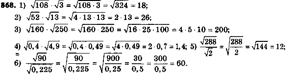
Упр.868 ГДЗ Мерзляк 8 класс (Алгебра)
Решение #1
Решение #2
Решение #3

Рассмотрим вариант решения задания из учебника Мерзляк, Полонская, Якир 8 класс, Вентана-Граф:
868. Докажите, что при всех допустимых значениях а значение выражения
(1/(a-3)2 - 6/(9-a2) + 1/(a+3)2) : 4(2a2-9)/(81-a4) - 2a2/(9-a2)
не зависит от значения a.
Похожие решебники
Популярные решебники 8 класс Все решебники
*К сожалению, временные проблемы с публикацией комментариев с мобильных устройств.