Упр.851 ГДЗ Мерзляк Полонский 7 класс (Алгебра)
Решение #1 (Учебник 2025)
Решение #2 (Учебник 2021)
Решение #3 (Учебник 2021)

Рассмотрим вариант решения задания из учебника Мерзляк, Полонская, Якир 7 класс, Вентана-Граф:
Завершите разложение на множители:
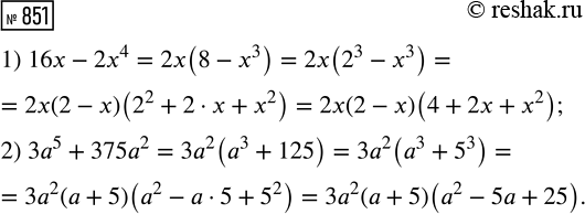
1) 16x - 2x^4;
2) 3a^5 + 375a^2.
Линейная функция задана формулой у = 6х - 5. Заполните таблицу.
x -3 -2 -1 0 1 2 3
y
Похожие решебники
Популярные решебники 7 класс Все решебники
*К сожалению, временные проблемы с публикацией комментариев с мобильных устройств.