Упр.814 ГДЗ Мерзляк 9 класс (Алгебра)
Решение #1 (Учебник 2024)
Решение #2 (Учебник 2024)
Решение #3 (Учебник 2021)
Решение #4 (Учебник 2021)

Рассмотрим вариант решения задания из учебника Мерзляк, Полонская, Якир 9 класс, Просвещение:
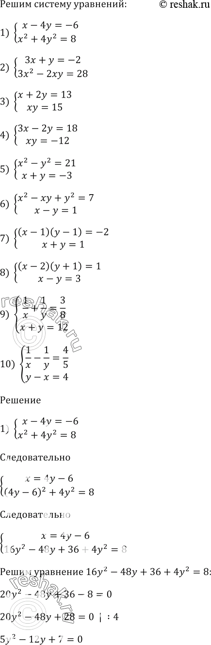
Решите систему уравнений:
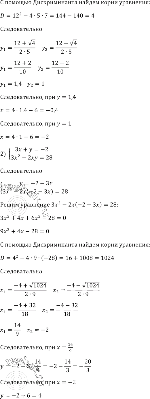
1) система
х - 4у = -6,
х^2 + 4у^2 = 8;
2) система
3х + у = -2,
Зх^2 - 2ху = 28;
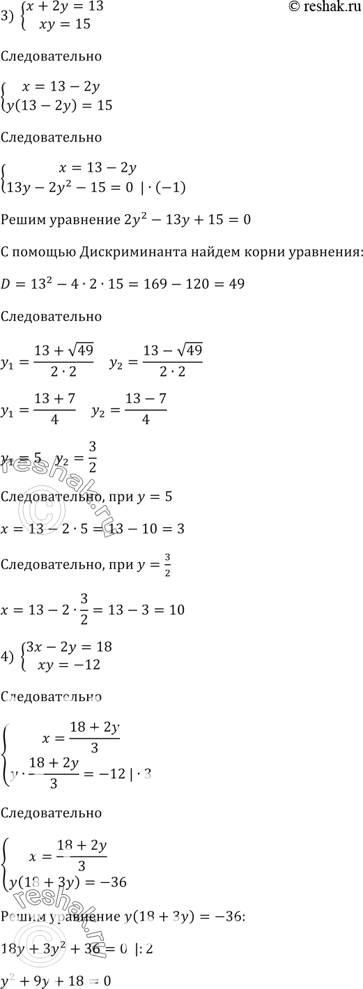
3) система
х + 2у = 13,
xy = 15;
4) система
Зх - 2у = 18,
xy = -12;
Упростите выражение:
1) (корень(а) - корень(b))/корень(ab) + (корень(a) - корень(c));
2) (d - 49)/(d + 12корень(d)) * (4корень(d) + 24)/(3корень(d) + 21).
Похожие решебники
Популярные решебники 9 класс Все решебники
*размещая тексты в комментариях ниже, вы автоматически соглашаетесь с пользовательским соглашением