Упр.8.4 ГДЗ Дорофеев Суворова 7 класс (Алгебра)
Решение #1

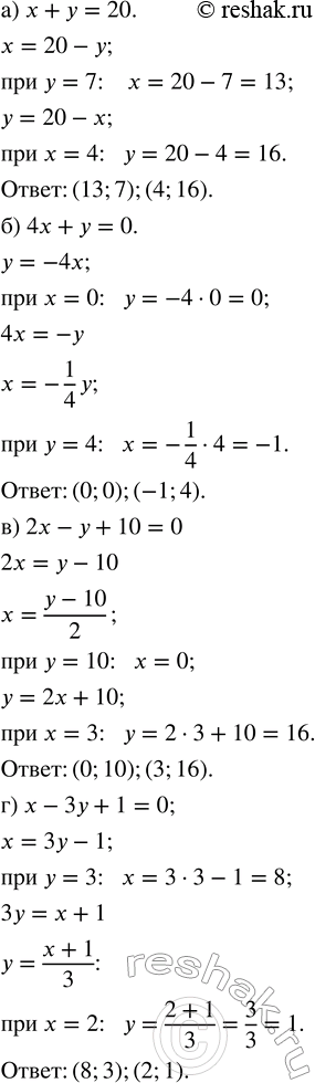
Рассмотрим вариант решения задания из учебника Дорофеев, Суворова, Бунимович 7 класс, Просвещение:
Найдите несколько решений уравнения, предварительно выразив одну переменную через другую:
а) х + у = 20; в) 2х - у + 10 = 0;
б) 4х + у = 0; г) х - 3у + 1 = 0.
Популярные решебники 7 класс Все решебники
*размещая тексты в комментариях ниже, вы автоматически соглашаетесь с пользовательским соглашением