Упр.8.24 ГДЗ Дорофеев Шарыгин 6 класс (Математика)
Решение #1

Рассмотрим вариант решения задания из учебника Дорофеев, Шарыгин, Суворова 6 класс, Просвещение:
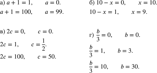
Подберите значение буквы, при котором выражение:
а) а + 1 принимает значение, равное 1; 100;
б) 10 - х принимает значение, равное 0; 1;
в) 2с принимает значение, равное 0; 1; 100;
г) b/3 принимает значение, равное 0; 1; 10.
Популярные решебники 6 класс Все решебники
*К сожалению, временные проблемы с публикацией комментариев с мобильных устройств.