Упр.8.19 ГДЗ Дорофеев Шарыгин 6 класс (Математика)
Решение #1

Рассмотрим вариант решения задания из учебника Дорофеев, Шарыгин, Суворова 6 класс, Просвещение:
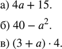
В выражение, содержащее букву а, последовательно подставили три числа. Запишите это буквенное выражение, если в результате подстановок получились следующие числовые выражения:
а) 4 * 11 + 15,
4 * 0,8 + 15,
4 * 1/6 + 15;
б) 40 - 1^2,
40 - 5^2,
40 - (0,5)^2;
в) (3 + 17) * 4,
(3 + 1,6) * 4,
(3 + 4/9) * 4.
Популярные решебники 6 класс Все решебники
*К сожалению, временные проблемы с публикацией комментариев с мобильных устройств.