Упр.753 ГДЗ Колягин Ткачёва 8 класс (Алгебра)
Решение #1 (Учебник 2024)
Решение #2 (Учебник 2013)

Рассмотрим вариант решения задания из учебника Колягин, Ткачёва, Фёдорова 8 класс, Просвещение:
Выполнить действия:
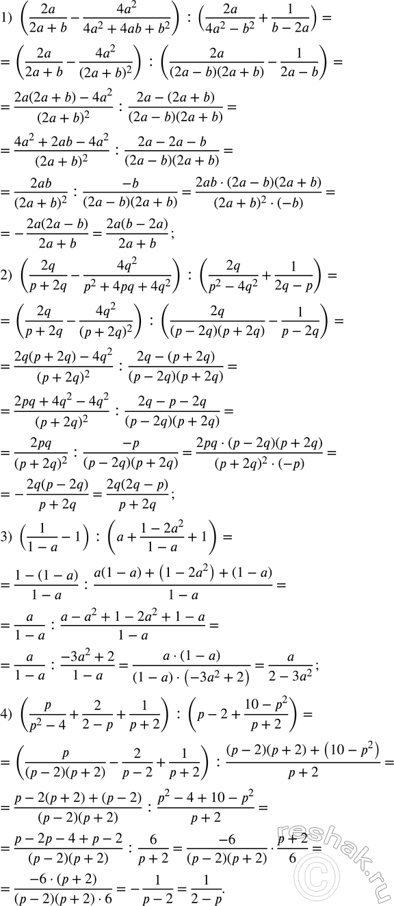
1) (2a/(2a + b) - 4a^2/(4a^2 + 4ab + b^2)) : (2a/(4a^2 - b^2) + 1/(b - 2a));
2) (2q/(p + 2q) - 4q^2/(p^2 + 4pq + 4q^2)) : (2q/(p^2 - 4q^2) + 1/(2q - p));
3) (1/(1 - a) - 1) : (a + (1 - 2a^2)/(1 - a) + 1);
4) (p/(p^2 - 4) + 2/(2 - p) + 1/(p + 2)) : (p - 2 + (10 - p^2)/(p + 2)).
Две бригады монтажников затратили на сборку агрегата 6 ч 40 мин. Сколько времени потребуется на сборку такого же агрегата каждой бригаде отдельно, если одной из них потребуется на эту работу на 3 ч больше, чем другой?
Популярные решебники 8 класс Все решебники
*К сожалению, временные проблемы с публикацией комментариев с мобильных устройств.