Упр.751 ГДЗ Колягин Ткачёва 8 класс (Алгебра)
Решение #1 (Учебник 2024)
Решение #2 (Учебник 2013)

Рассмотрим вариант решения задания из учебника Колягин, Ткачёва, Фёдорова 8 класс, Просвещение:
Выполнить действия:
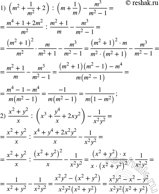
1) (m^2 + 1/m^2 + 2) : (m + 1/m) - m^3/ (m^2 - 1);
2) ((x^2 + y^2)/x) : ((x^3 + y^4/x + 2xy^2)) - 1/(x^2 y^2).
Числитель некоторой обыкновенной дроби на 11 больше знаменателя. Если к числителю прибавить 5, а к знаменателю 12, то получится дробь, втрое меньше исходной. Найти эту дробь.
Популярные решебники 8 класс Все решебники
*К сожалению, временные проблемы с публикацией комментариев с мобильных устройств.