Упр.747 ГДЗ Мерзляк Полонский 5 класс (Математика)
Решение #1 (Учебник 2024)
Решение #2 (Учебник 2019)

Рассмотрим вариант решения задания из учебника Мерзляк, Полонский, Якир 5 класс, Просвещение:
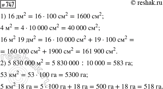
Выразите: 1) в квадратных сантиметрах: 16 дм^2; 4 м^2; 16 м^2 19 дм^2; 2) в гектарах: 5 830 000 м^2; 53 км^2; 5 км^2 18 га.
В первый день Миша прочитал 5/16 книги, а во второй день — 7/16 книги. Какую часть книги прочитал Миша за два дня?
Похожие решебники
Популярные решебники 5 класс Все решебники
*размещая тексты в комментариях ниже, вы автоматически соглашаетесь с пользовательским соглашением