Упр.74.12 ГДЗ Лукашик 7-9 класс по физике (Физика)
Решение #1

Рассмотрим вариант решения задания из учебника Лукашик, Иванова 9 класс, Просвещение:
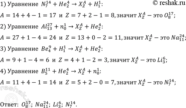
Определите неизвестный продукт X каждой из ядерных реакций:
N + He — X + H
AI + n —X + He Be + H —X + He
В + Н —X + n
Популярные решебники 9 класс Все решебники
*К сожалению, временные проблемы с публикацией комментариев с мобильных устройств.