Упр.7.16 ГДЗ Мордкович Семенов 11 класс (Алгебра)
Решение #1 (Учебник 2025)
Решение #2 (Учебник 2022)

Рассмотрим вариант решения задания из учебника Мордкович, Семенов, Александрова 11 класс, Просвещение:
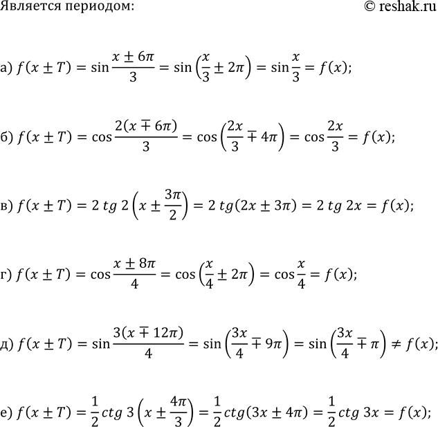
Докажите, что число T является периодом функции y = f(x), если:
а) f(x) = sin(x/3), T = 6?; г) f(x) = cos(x/4), T = 8?;
б) f(x) = cos(2x/3), T = -6?; д) f(x) = sin(3x/4), T = -12?;
в) f(x) = 2 tg(2x), T = 3?/2; е) f(x) = 1/2 ctg(3x), T = 4?/3.
Постройте и прочитайте график функции:
а) y=(x^4-4x^3+3x^2)/(x^2-3x);
б) y=(x-3)(x+1)/(x^4-2x^3-3x^2).
Похожие решебники
Популярные решебники 11 класс Все решебники
*К сожалению, временные проблемы с публикацией комментариев с мобильных устройств.