Упр.698 ГДЗ Мерзляк Полонский 8 класс (Алгебра)
Решение #1 (Учебник 2025)
Решение #2 (Учебник 2019)
Решение #3 (Учебник 2019)

Рассмотрим вариант решения задания из учебника Мерзляк, Полонская, Якир 8 класс, Просвещение:
При каких значениях переменной:
1) значения многочленов 6x2 - 2 и 5 - х равны;
2) значение двучлена у - 6 равно значению трёхчлена у2 - 9у + 3;
3) трёхчлены 4m2 + 4m + 2 и 2m2 + 10m + 8 принимают равные значения?
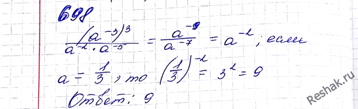
Найдите значение выражения (a^-3)^3 / (a^-2*a^-5) при а = 1/3.
Похожие решебники
Популярные решебники 8 класс Все решебники
*К сожалению, временные проблемы с публикацией комментариев с мобильных устройств.