Упр.692 ГДЗ Колягин Ткачёва 10 класс (Алгебра)
Решение #1
Решение #2

Рассмотрим вариант решения задания из учебника Колягин, Ткачёва, Фёдорова 10 класс, Просвещение:
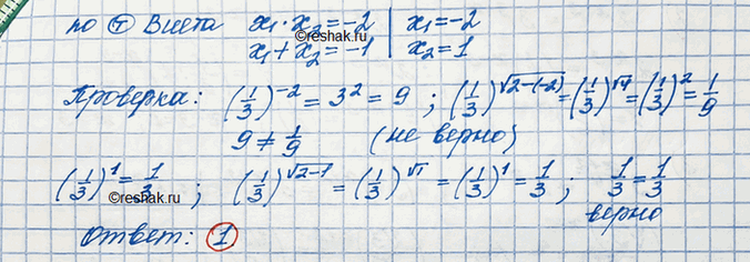
692.
1) (0,5)^(x^2-4x+3)=(0,5)^(2x^2+x+3)
2) (0,1)^(3+2x)=(0,1)^(2-x^2)
3) 3^(v(x-6))=3^x
4) (1/3)^x=(1/3)^(v(2-x))
Популярные решебники 10 класс Все решебники
*размещая тексты в комментариях ниже, вы автоматически соглашаетесь с пользовательским соглашением